|
|
马上注册,结交更多好友,享用更多功能,让你轻松玩转新大榭论坛!
您需要 登录 才可以下载或查看,没有账号?注册
x
上一讲,我们详细介绍了古代经典的《百钱百鸡》问题,还没听懂的请返回【传送门】
' @, V: ^! i5 N
_' T' R; u. g任何能帮助新大榭社区的建议,欢迎同学们在下方积极留言~% f s2 w$ ?' l l; p/ A7 K
, C: x* B' I" I8 h# m+ b D好啦,废话不多说,进入今天的主题,查找女神手机号!2 L z6 k/ y1 [6 b, y5 ~
9 ]; F& U7 K5 M7 ^
先有请今天的主人公:新大榭阁下~
7 J; ]) b7 S4 Z6 r/ c' _
, D: ~0 d. \3 E7 [; J* A他一直暗恋同是计科专业的同班女神,无数次悉心热情的帮女神修改代码。
% Q! f2 p$ @0 Z3 m; q6 G0 ?; v(教学需要剧情,请不要深究哈)3 C* l+ E! i5 D3 t
! O9 K0 G Q" P5 q有一天,女神又来找新大榭调测程序,二话没说,放下电脑就走了。
$ _6 D$ J* J1 W( |4 u& ?
: @+ p7 v* b; D新大榭小哥哥看到代码编辑器上写了一段注释:4 A, b7 U0 W) g/ ]3 x
- '''
: r% M. M6 \, j h - 想和我出去约会吗?0 \" E( T+ G, a2 H7 U
- / [% g) ?: r: w7 n/ g: I$ R
- 请根据以下线索找出我手机号 1709098xxxx 的后 4 位,并在今晚 21:00 前短信告诉我集合地方~4 G$ }* g/ o- ^
- $ C6 i( ] R7 B& K6 \) |
- ##前两位数字相同
! i. Z: C3 {5 q0 f- O4 E1 J) | - ##后两位数字相同,但与前两位不同 g9 Y0 V4 |' z! K: T$ `% o8 l
- ## 4 位数字刚好是一个整数的平方
复制代码 看到这里,新大榭小哥哥心头小鹿乱撞!! Z' f0 L7 A4 R8 i
$ v+ q" c. D( v! j$ k
想到女神那甜蜜的微笑,仿佛一股清凉的泉水从他心中流过...
# r5 ~. x& g5 `) J- H" ] C: a' U2 r8 D: m& `
喜悦和躁动涌进了他的心中,心仿佛荡漾在春水里。
( Z% R9 |( w5 U8 g: s" a" M) m/ x# h" _7 e# N \3 ^& g
那颗心乐得快要盛不下蜜糖般的喜悦!!!* |! I4 a! ]. x9 C( u6 w/ @
/ ?# {, A R3 }# z, T3 c6 n+ G一看手表,还有 20min,既然如此,只能来撸代码了!
6 P+ E0 A* p, @9 z, D$ ~0 y' m2 S% b' {7 i; j) z
按照女神的要求,其实就是找到一个前两位数相同、后两位数相同且相互间又不同的4位整数。
' n$ O4 a, X: [$ l- A# y1 G
- o2 W" ^: {, s2 D& p8 ~" j然后判断该整数是否是另一个整数的平方!
: z7 O" s, `8 G5 ]* e! ?7 ?; m* e" n" r1 u# m, d s5 s
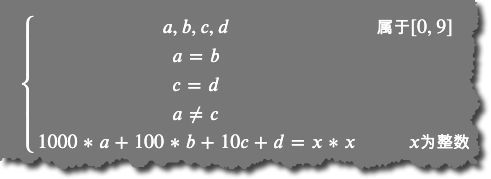
即求一个 4 位数 abcd,满足下面的条件( abcd 均属于[0,9]):
* l d p6 k' [& |) {4 _9 `: @1 u, E6 c+ U* v. s
3 S- C1 }8 Y x" ~& V X v" o* `- v/ @: O) y, g! w
其中由注释可知,a 和 b,c 和 d,又各自相等。
& R6 u# V7 O7 d; d' Y
( Z6 z/ z) y9 d# c! E0 I6 c" F公示有了,最简单粗暴方式还是用 穷举法,一个一个试,答案很快就会浮出水面!, z9 [) Q0 f' j2 J
新大榭此时心中想起一句名言:$ J" L6 F( s9 ?% V9 F# U
首先设计双层循环穷举出所有由前两位数和后两位数组成的四位数。# E6 @6 U) {% c! v$ U
# w! u3 A" p4 E- U* Q# K: N然后在最内层穷举出所有平方后结果为四位的数,最后判断该数是否符合总条件,符合则打印答案。4 n; U; ]* h: S
" y9 P8 _9 W1 y4 o( r流程图参上:(点击看大图)( ?) Y9 ^1 h1 G3 g4 u
- a3 z# [; b' }' Z5 Z
' i. b/ p% B( y& i$ {6 F
7 u2 ~* k, V. E N2 G! @写流程图时新大榭发现找整数时,不一定从1开始,因为女神手机号只能是四位!
4 t3 O2 K Z- {- M" W2 r0 |
# ?- l$ f% o6 k9 m$ h. f" N00xx,这样根本无法满足条件。2 Q0 u5 M, v8 r
" @4 C9 D1 C5 W& x1 t
既然如此是四位数,那么它的平方根只能是从 34 到 99 之间!(为什么?)( s4 i0 d- r( v
5 O* _8 n2 M. }9 D9 {
如果用上一讲的 while 循环来写,代码就是:
0 ]- b4 L; K0 z% u- i = 1' @' j9 N7 H. Z
- while i <= 9:
8 d' h; W& m* m! |7 S0 p( n$ l - j = 0
X5 t6 D5 P$ s - while j <= 9:
8 X0 N! ^3 e2 W0 _ - if(i != j):
/ z5 n: [8 c/ H5 w, ? - k = 1000*i+100*i+10*j+j
4 g& Y' P1 K8 c7 k- r2 @- Y5 a# f - t = 34/ s9 W# S( l/ A# {
- while t <= 99:
' L- f! a4 G( y* w2 L4 Y; q% `1 p - if(k == t*t):6 n l' E9 o6 D7 \
- print(k)
3 l6 M9 o/ ~$ D, Y1 B1 x - t += 1
/ K4 X! n+ f' C7 u$ ? - j += 1
4 O: p% M& d+ @1 d0 _7 a - i += 1
复制代码
2 M6 @3 e! w n# [7 R# N( G' Mwhile 循环我们都用了这么久,还可以用更省心的 for 循环噢!
$ c8 [9 r# Y- ^$ h0 F( f
& c. Y- A, j% ]. Q4 t p/ J将上面的 while 条件以及 +1 条件,统一用 for () in range() 替换。/ T% k: S+ ]! }0 w" P: n
% ] J) w+ T w S# Z$ I0 r
所以流程图中所有 while 都可以修改 ,并且最后的 for 循环条件就是 (34,100):
* r5 _3 c; {% \: i4 e& C5 R代码分分钟搞定了,看下结果:
% Y6 K' j) o" X2 M9 f+ Q( d6 j7 E9 t$ b

3 s$ F# `, E% i2 x5 A; } n/ }- z/ I* v/ a. C6 S
抬手看表,刚刚 20:50,赶紧发短信:
4 `4 ~' t# K/ A" O3 m
# F! x& L- t- y4 W' T' G1 ^1 g5 n+ T% b$ J
哈哈哈,让我们祝新大榭小哥哥幸福吧~~, R0 I- f- z, ^
- ~5 i8 D* ~% B( b: N源代码(程序那么简单,先自己动手写!稍后老师附参考答案):! k# U k2 d" g% T& g; k; J
- '''; [. T7 ~/ v; X$ d! B$ [
- Team: 新大榭
. u8 q, x J+ Z& t% C - Author: 张黎斌( e* p' R2 C6 o& M) P9 z
- update: 2021-07-14
* X/ ^+ F' _) z! X8 N - Level: A
, j# W8 J- _5 J' l, Z% s - 8 |1 D' g) I& i0 X! K7 Q
- 想和我出去约会吗?
_4 s' n9 J7 z" Y - 请根据以下线索找出我的手机号1709098XXXX 的后四位; a* p2 T) f6 I
- 2 g1 h( W, h' A& _( ^, r
- 线索1:前两位数字相同$ G: o ~+ U: e+ ~1 U+ r: o
- 线索2:后两位数字也相同,但与前两位不同
. m- Q9 {0 g0 [8 | - 线索3:这四位数刚好是一个整数的平方) i8 J: t/ U, s8 c, x
- '''
# t8 ~/ |/ h2 y% ]$ ?. z; K - for i in range(10):' e% s: ^ k4 t( r a# p k
- for j in range(10):
) x+ K- @% a$ V6 B8 p - if i != j:
" T% i) S7 Q; y! q - k = 1000*i + 100*i + 10*j + j
1 _+ _( M( m" L - for temp in range(34,100): # 为什么 34<=temp<100 #因为四位数范围为1100~9988
% A2 O- A" f- m; }8 _ - if temp*temp == k:) A1 S+ ^6 ~7 e, `2 @7 S9 q( M
- print("女神的手机号后四位:",k)
复制代码 注:号码虚构,如有雷同,纯属巧合! |
-
-
7412.zip
472 Bytes, 阅读权限: 5, 下载次数: 2, 下载积分: 财富 -1 点
|